The encroachment of woody vegetation into grasslands is a trend in grass-dominated ecosystems worldwide. In the long term, woody vegetation can completely replace grassland vegetation, displacing grassland-dependent bird species. We aimed to evaluate the effects of woody vegetation removal on grassland birds in a legally protected grassland area by monitoring the bird community over eight sampling periods, before and after woody vegetation removal. Grassland bird richness and abundance increased significantly immediately after woody vegetation removal, then decreased two years after removal. The opposite trend occurred with forest bird richness and abundance, decreasing immediately after woody vegetation removal and increasing significantly two years after removal. The results indicate that the removal of woody vegetation improves the quality and quantity of habitat for grassland-dependent bird species and that it can be used as an important conservation strategy in protected areas of the grasslands of southern South America.
Trees and shrubs are invading natural grassland ecosystems around the world, and woody plant encroachment has been reported as a driver of declines in grassland-dependent birds (Andersen and Steidl, 2023; Coppedge et al., 2004; Lautenbach et al., 2020; Silber et al., 2024). Although these declines are often attributed to habitat loss from land-use change, some grassland-dependent species are disappearing even within protected areas. Legally protected areas of native grassland in the extreme south of Brazil (law no. 12.727/2012; Brancalion et al., 2016) generally have their management practices suppressed (i.e., grazing and fire). This has resulted in the gradual encroachment of shrubs, with the predominance of some species such as Baccharis uncinella and B. dracunculifolia (Blanco et al., 2014; Boldrini, 2009; Oliveira and Pillar, 2004). These species are typical of southern grasslands and characterize the initial stages of invasion by woody vegetation in grasslands in the absence of disturbances, such as grazing and fire (Oliveira and Pillar, 2004). This process is particularly concerning in the Brazilian Pampa, where protected areas cover only about 3% of the biome, with just 0.54% under strict protection, highlighting the limited extent of effective conservation and the importance of appropriate management to maintain grassland structure and biodiversity (Overbeck et al., 2023; Brasil, 2024).
Woody encroachment can generate profound structural changes in grassland habitats, with important consequences for bird communities. Increased shrub cover has been associated with higher rates of nest predation, as woody plants provide perches and movement corridors for predators such as birds of prey and snakes (Graves et al., 2010; Klug et al., 2010; Mason et al., 2005; With, 1994). In addition, denser or taller vegetation can attract mammals seeking shelter or shade, further increasing predation pressure. These structural changes also reduce the availability of resources required by grassland specialists. For instance, the regionally endangered Culicivora caudacuta relies heavily on grass inflorescences for nest construction (Jacoboski et al., 2023; Silva and Silva, 2021), making the progressive loss of herbaceous vegetation particularly detrimental. Over time, woody encroachment can therefore reduce habitat quality, survival, and reproductive success of grassland-dependent birds (Archer et al., 2017; Sirami and Monadjem, 2012).
In this sense, when conducted with appropriate frequency and intensity, management practices in grassland ecosystems, such as the use of prescribed fire and grazing, are essential for the conservation of grassland biodiversity (Andrade et al., 2015; Fontana et al., 2016; Jacoboski et al., 2017; Veldman et al., 2015). The mechanical removal of woody vegetation is a management method that has been used to restore several ecosystems around the world (Hamilton et al., 2004), since the encroachment of woody vegetation has become one of the most widespread processes of grassland habitat degradation due to changes in management regimes and climate change (Archer et al., 2017; Stevens et al., 2017). This removal method is used to promote the restoration of vegetation to levels close to its original state with the aim of improving habitat quality and conserving species dependent on such environments (Archer et al., 2017; Hamilton et al., 2004). However, because it is a mechanical method, the frequency, intensity, and scale of this type of intervention must be carefully evaluated. Different woody vegetation removal methods can influence grassland birds through their distinct effects on vegetation structure, soil disturbance, and patterns of regrowth. Manual removal tends to eliminate individual shrubs while leaving the surrounding herbaceous layer relatively intact. However, because this method acts locally and generates fine-scale gaps, woody species can recolonize rapidly, reducing structural heterogeneity and potentially disadvantaging species that rely on a mosaic of open microhabitats (Codesido et al., 2009). In contrast, low-intensity mechanized removal clears shrubs more uniformly and over larger patches, slowing woody regrowth and temporarily expanding open areas and herbaceous resources, conditions that typically favor grassland specialists (Coria et al., 2015).
Empirical studies reflect these contrasts. In Argentina, different removal intensities produced markedly different responses in bird communities: manual shrub removal led to declines in bird richness and abundance (Codesido et al., 2009), whereas low-intensity mechanical cutting maintained bird diversity (Coria et al., 2015). Likewise, selective mechanical cutting did not affect overall bird diversity but increased the abundance of the endangered Gubernatrix cristata, demonstrating that woody vegetation removal, when carefully implemented, can enhance habitat conditions for species of conservation concern (Rebollo et al., 2025).
Such studies, however, have only assessed species diversity in general terms, without assessing the responses of bird species according to their relationship to vegetation type. Therefore, we aimed to evaluate the response of the bird community of a legally protected grassland area in southern Brazil to the removal of woody vegetation by evaluating grassland-dependent and woody vegetation-dependent bird species separately. In doing so, we provide the first attempt to evaluate the effect of woody vegetation removal on grassland birds in southern South America. We addressed two main hypotheses. First, there will be an increase in grassland bird richness and abundance after woody vegetation removal, given that there would be an increase in the amount of habitat available for grassland bird species (Andersen and Steidl, 2023). Furthermore, the opposite will occur with birds associated with woody vegetation, with a reduction in richness and abundance after removal. Second, there will be changes in species composition between sampling periods, since both the absence of management and the suppression of vegetation will alter the structure of the local vegetation, which also affects bird occurrence.
Material and methodsStudy areaThe study was conducted in the municipality of São Gabriel (30º 20' 11"S, 54º 19' 12"W), state of Rio Grande do Sul, Brazil. The study area is located within the Pampa biome (IBGE, 2004) and is a grassland of the Andropogoneae and Compositae ecoregions, wherein prostrate species predominate in the lower stratum and grasses of the genus Andropogon predominate in the upper stratum (Hasenack et al., 2010). Sampling was conducted in a privately owned Permanent Preservation Area (APP) located within a commercial eucalyptus plantation (Fig. S1). Before the establishment of the plantation, the area was used for cattle grazing. However, since the implementation of forestry activities, all traditional grassland management practices (e.g., grazing and fire) have been suppressed (see Jacoboski et al., 2022), which has allowed the natural encroachment of shrubs into the grassland. In the surrounding region, land use is predominantly characterized by soybean cultivation, livestock production, and silviculture. Overall, native grasslands in this region have undergone extensive conversion and fragmentation. The total area of the APP is approximately 90 ha, although the study was conducted in a smaller portion of this area (see details in the Woody Vegetation Removal section).
Bird samplingBirds were sampled during the austral spring-summer (October to February), which corresponds to the breeding season for avian species in the southern Hemisphere. Bird sampling was conducted in eight different periods: two before woody vegetation removal and six after. The pre-removal sampling periods were as follows: (1) the first was during the 2014/2015 breeding season, four years before woody vegetation removal (4YBWVR); and (2) the second was during the 2018/2019 breeding season, one year before woody vegetation removal (1YBWVR). The post-removal sampling periods were conducted monthly for four consecutive months during the 2020/2021 breeding season and then in the two subsequent years, as follows: (3) the first monthly sampling after removal was in October 2020, one month after woody vegetation removal (1MAWVR); (4), the second monthly sampling was in November 2020 (2MAWVR); (5) the third monthly sampling was in December 2020 (3MAWVR); (6) the fourth monthly sampling was in January 2021 (4MAWVR); (7) the next sampling was in October 2021, approximately one year after woody vegetation removal (1YAWVR); and (8) the final sampling was in October 2022, approximately two years after woody vegetation removal (2YAWVR).
Monthly sampling aimed to capture initial, short-term responses of avifauna to woody vegetation removal, which might not be detected with longer sampling intervals. Thus, monthly sampling was essential for assessing the immediate dynamics of bird species recolonization and habitat use. This approach also helped identify potential transient patterns, which may disappear or stabilize over time and would therefore be underestimated if observed only at an annual scale.
Birds were sampled using the point-count method, with the points separated by a distance of at least 200 m (Bibby et al., 2000). The point-count locations were established according to the spatial configuration of the study area and were positioned to maintain a minimum distance from any type of edge. All bird species seen or heard within a fixed radius of 50 m at each point during a 10 min interval were recorded. Sampling began 10 min after sunrise and ended approximately three hours later. Bird sampling was carried out at three fixed point-count. Each sampling period consisted of two consecutive days of surveys, totaling 16 sampling days across the four periods. All three point-count stations were visited once per day, resulting in 48 point counts in total (3 points × 16 days). To avoid temporal bias, the order in which the points were sampled was randomized on each visit, ensuring that each point was surveyed at different times of day across the study. The recorded bird species were classified according to preferred vegetation type following Azpiroz et al. (2012) for grassland birds and Stotz et al. (1996) for shrubland and forest-dependent birds. Some species were classified as “other” as they could not be included either of the three vegetation categories; these species were not included in the statistical analyses.
Woody vegetation removalPrior to woody vegetation removal, a permit for vegetation management in the PPA was obtained from the local environmental agency - Rio Grande do Sul State Secretaria of Environment and Infrastructure (SEMA/RS) (Process No. 5607-05.67/19.6). Woody vegetation was removed in 2020, during the non-breeding season (i.e., austral winter) to minimize direct impacts on the reproductive cycles of the species. The aim was to simulate the return of grassland vegetation close to its original state. Small and medium-sized woody vegetation was removed using a brush cutter attached to a tractor. Trees with a diameter at breast height greater than 15 cm (DBH >15 cm) were not removed, resulting in the persistence of some isolated individual trees in the study area.
The PPA where the experiment was conducted encompasses approximately 90 hectares. However, due to legal protection restrictions, only a portion of the area could be designated for the woody vegetation removal experiment. Consequently, a 10-hectare section was selected for the intervention. We consider this experimental area sufficient to address the research questions, as it allowed for robust assessment of management effects while respecting the conservation regulations of the PPA.
This area was specifically selected because it is part of a larger set of sites monitored over the past ten years, allowing us to leverage long-term data on shrub encroachment. Importantly, the process of woody vegetation expansion has been continuously tracked since the area was still predominantly grassland, providing a well-documented baseline for the experiment. The remaining surroundings of the study site are composed mainly of shrub and forest vegetation, and the nearest patch of native grassland is located approximately 700 meters from the experimental area.
Data analysisRichness and abundance data were tested for normality using the Shapiro-Wilk test (Shapiro and Wilk, 1965), and homogeneity of variances between groups using Levene's test (Levene, 1960). Both assumptions were met, so differences in the structure (species richness and abundance) of the sampled bird communities during the sampling periods were tested by One-Way Analyses of Variance (ANOVA) followed by Tukey’s test. The greatest number of individuals recorded on one of the two sampling days for each sampling period was used for abundance to avoid recounts and overestimation. The relative percentage of bird species and individuals associated with each vegetation type (grassland, shrubland, and forest) at each sampling point was calculated to standardize comparisons between different sampling periods. Thus, the number of bird species recorded in each vegetation type was divided by the total number of species at that sampling point, expressed as a percentage. Although sampling effort was the same among sampling periods, standardization as percentages was used to assess the relative contribution of each vegetation type to bird community structure in each period. This procedure was applied to both the number of species (richness) and the number of individuals (abundance), allowing proportional comparisons between periods, regardless of variation in absolute richness or abundance.
Differences in species composition among sampling periods were evaluated by Permutational Multivariate Analysis of Variance (PERMANOVA; Anderson, 2008) using the Bray-Curtis dissimilarity index and 9999 permutations. PERMOVA was performed using the adonis2 function of the vegan package (Oksanen et al., 2024) of R software (R Core Team, 2024). This method tests whether variation in community composition among groups is greater than expected by chance, based on dissimilarity matrices, thus allowing formal statistical testing of the effect of differences among sampling periods on community structure. In addition, Non-Metric Multidimensional Scaling (NMDS) ordination was conducted using the metaMDS function, also of the vegan package (Oksanen et al., 2024) of R software (R Core Team, 2024), to visually explore patterns in species composition as related to vegetation type. NMDS is an ordination technique that represents multivariate data in a reduced dimensional space, preserving the rank order of dissimilarities among samples. When no individuals were recorded at three count-points, the sample was excluded from the NMDS analyses.
ResultsA total of 55 bird species was recorded during the sampling. Of these, 14 are grassland-dependent species, 17 are associated with shrubland, and 19 are forest-dependent (Azpiroz et al., 2012; Stotz et al., 1996) (Table 1). Zonotrichia capensis was the only species recorded in all sampling periods; it is a common species typical of shrubland environments, occurring in open areas with secondary vegetation. Eighteen species were recorded in only one sampling period, most of which are associated with forest vegetation, such as Cyanocorax caeruleus and Turdus albicollis. The fact that these species were recorded only once indicates that many of these species do not actually use the area, but just perch on trees while moving through, as observed several times during the sampling.
List of bird species recorded in each sampling period, number of individuals and characteristic habitat. Caption: 4YBWVR (four years before woody vegetation removal), 1YBWVR (one year before woody vegetation removal), 1MAWVR (one month after woody vegetation removal), 2MAWVR (two months after woody vegetation removal), 3MAWVR (three months after woody vegetation removal), 4MAWVR (four months after woody vegetation removal), 1YAWVR (one year after woody vegetation removal), 2YAWVR (two years after woody vegetation removal).
| Species | 4YBWVR | 1YBWVR | 1MAWVR | 2MAWVR | 3MAWVR | 4MAWVR | 1YAWVR | 2YAWVR | Habitat |
|---|---|---|---|---|---|---|---|---|---|
| Agelaioides badius | 0 | 0 | 0 | 0 | 0 | 0 | 4 | 0 | Shrub |
| Amazonetta brasiliensis | 6 | 0 | 0 | 0 | 0 | 0 | 0 | 0 | Other |
| Ammodramus humeralis | 2 | 0 | 0 | 1 | 0 | 0 | 0 | 0 | Grassland |
| Cathartes burrovianus | 0 | 0 | 0 | 0 | 0 | 2 | 2 | 0 | Other |
| Chlorostilbon lucidus | 0 | 0 | 0 | 0 | 1 | 2 | 2 | 1 | Forest |
| Circus buffoni | 0 | 0 | 0 | 0 | 0 | 0 | 1 | 0 | Grassland |
| Columbina picui | 0 | 0 | 0 | 0 | 0 | 0 | 1 | 3 | Shrub |
| Coryphospingus cucullatus | 0 | 1 | 0 | 0 | 0 | 0 | 0 | 0 | Forest |
| Cyanocorax caeruleus | 0 | 2 | 0 | 0 | 0 | 0 | 0 | 0 | Forest |
| Cyanoloxia brissonii | 0 | 0 | 0 | 0 | 0 | 0 | 1 | 0 | Forest |
| Cyanoloxia glaucocaerulea | 0 | 1 | 0 | 0 | 0 | 4 | 0 | 0 | Forest |
| Cyclarhis gujanensis | 0 | 2 | 0 | 0 | 0 | 0 | 0 | 0 | Forest |
| Dendrocygna viduata | 0 | 0 | 0 | 0 | 0 | 2 | 0 | 0 | Other |
| Donacospiza albifrons | 0 | 0 | 0 | 1 | 0 | 0 | 2 | 0 | Grassland |
| Elaenia parvirostris | 0 | 2 | 0 | 0 | 0 | 0 | 0 | 1 | Forest |
| Emberizoides herbicola | 1 | 0 | 1 | 2 | 3 | 6 | 1 | 1 | Grassland |
| Emberizoides ypiranganus | 3 | 0 | 0 | 0 | 0 | 0 | 0 | 0 | Grassland |
| Embernagra platensis | 0 | 3 | 2 | 1 | 3 | 1 | 1 | 2 | Grassland |
| Euscarthmus meloryphus | 0 | 0 | 0 | 0 | 0 | 0 | 1 | 1 | Shrub |
| Furnarius rufus | 1 | 0 | 0 | 0 | 0 | 0 | 0 | 0 | Shrub |
| Geothlypis aequinoctialis | 0 | 1 | 1 | 2 | 1 | 0 | 4 | 4 | Shrub |
| Hylocharis chrysura | 0 | 0 | 0 | 0 | 0 | 2 | 0 | 0 | Forest |
| Laterallus leucopyrrhus | 0 | 0 | 0 | 0 | 0 | 0 | 1 | 0 | Other |
| Laterallus melanophaius | 0 | 0 | 0 | 0 | 0 | 0 | 0 | 2 | Other |
| Leistes superciliaris | 0 | 0 | 1 | 0 | 1 | 0 | 0 | 0 | Grassland |
| Myiophobus fasciatus | 0 | 4 | 0 | 1 | 1 | 1 | 1 | 0 | Shrub |
| Paroaria coronata | 1 | 0 | 0 | 0 | 0 | 0 | 2 | 2 | Shrub |
| Patagioenas picazuro | 0 | 0 | 0 | 0 | 0 | 0 | 0 | 4 | Forest |
| Phacellodomus striaticollis | 0 | 0 | 0 | 0 | 0 | 1 | 1 | 2 | Grassland |
| Pitangus sulphuratus | 0 | 0 | 0 | 0 | 1 | 0 | 1 | 3 | Forest |
| Poospiza nigrorufa | 0 | 0 | 0 | 0 | 1 | 2 | 1 | 0 | Grassland |
| Progne chalybea | 2 | 0 | 0 | 0 | 0 | 0 | 0 | 0 | Shrub |
| Progne tapera | 0 | 0 | 1 | 0 | 0 | 0 | 0 | 0 | Grassland |
| Rhynchotus rufescens | 1 | 0 | 0 | 2 | 1 | 1 | 1 | 0 | Grassland |
| Saltator aurantiirostris | 0 | 0 | 0 | 1 | 0 | 1 | 2 | 4 | Forest |
| Saltator similis | 0 | 1 | 0 | 0 | 0 | 0 | 1 | 2 | Forest |
| Serpophaga subcristata | 1 | 0 | 0 | 0 | 0 | 0 | 0 | 1 | Forest |
| Setophaga pitiayumi | 0 | 2 | 0 | 0 | 0 | 0 | 0 | 0 | Forest |
| Sicalis luteola | 1 | 0 | 10 | 3 | 4 | 2 | 1 | 0 | Grassland |
| Spinus magellanicus | 3 | 0 | 0 | 0 | 0 | 0 | 0 | 0 | Shrub |
| Sporophila caerulescens | 1 | 0 | 0 | 2 | 1 | 0 | 0 | 3 | Shrub |
| Synallaxis frontalis | 0 | 0 | 0 | 0 | 0 | 0 | 1 | 2 | Shrub |
| Synallaxis spixi | 0 | 1 | 0 | 0 | 0 | 1 | 1 | 0 | Shrub |
| Tapera naevia | 1 | 0 | 0 | 0 | 0 | 1 | 0 | 0 | Shrub |
| Thamnophilus caerulescens | 0 | 0 | 1 | 2 | 1 | 0 | 0 | 0 | Forest |
| Thamnophilus ruficapillus | 0 | 2 | 0 | 0 | 1 | 0 | 2 | 3 | Shrub |
| Troglodytes musculus | 0 | 1 | 2 | 2 | 3 | 3 | 1 | 1 | Shrub |
| Turdus albicollis | 0 | 0 | 0 | 0 | 0 | 0 | 0 | 1 | Forest |
| Turdus amaurochalinus | 0 | 1 | 0 | 0 | 0 | 0 | 1 | 5 | Forest |
| Turdus rufiventris | 0 | 1 | 0 | 0 | 0 | 0 | 0 | 2 | Forest |
| Tyrannus melancholicus | 2 | 0 | 0 | 0 | 0 | 1 | 0 | 0 | Forest |
| Tyrannus savana | 2 | 0 | 0 | 0 | 0 | 2 | 1 | 0 | Grassland |
| Volatinia jacarina | 0 | 2 | 0 | 5 | 7 | 2 | 4 | 4 | Grassland |
| Zenaida auriculata | 3 | 1 | 0 | 0 | 0 | 0 | 2 | 4 | Shrub |
| Zonotrichia capensis | 5 | 6 | 6 | 7 | 4 | 3 | 5 | 7 | Shrub |
Notably, four grassland bird species (sensuAzpiroz et al., 2012), Ammodramus humeralis, Emberizoides herbicola, Rhynchotus rufescens and Sicalis luteola, that had been recorded four years before the removal of woody vegetation, but not recorded the year prior to removal, were recorded again after the removal.
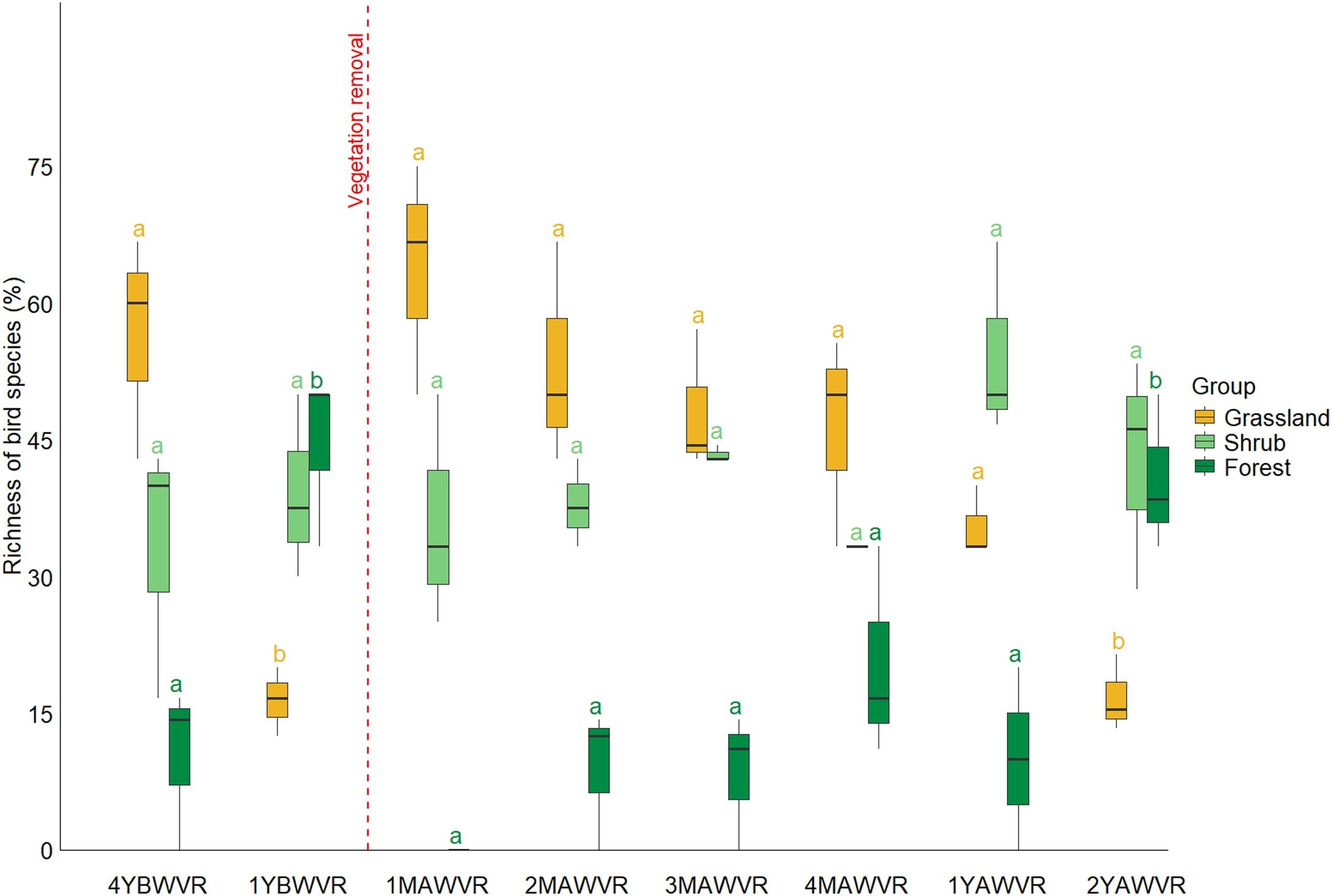
Grassland bird species richness differed significantly between before and after woody vegetation removal (Table S1). Initially, there was a significant reduction in grassland bird richness one year before removal (1YBWVR) compared to the first sampling period (4YBWVR). Subsequent to vegetation removal, grassland species richness increased significantly and continued to do so until one year after removal (1YAWVR). At two years after removal (2YAWVR), however, grassland bird richness decreased significantly to values similar to pre-removal. Forest-dependent bird species richness showed the opposite behavior, increasing significantly one year before removal (1YBWVR), then decreasing after removal and increasing significantly again two years after removal (2YAWVR) (Fig. 1, Table S3). Shrub-associated bird species richness did not differ significantly among sampling periods (Table S2).
Boxplots demonstrating variations in bird species richness according to vegetation and sampling period. Different letters indicate significant differences between sampling periods. The dashed red line indicates the time of woody vegetation removal. Caption: 4YBWVR (four years before woody vegetation removal), 1YBWVR (one year before woody vegetation removal), 1MAWVR (one month after woody vegetation removal), 2MAWVR (two months after woody vegetation removal), 3MAWVR (three months after woody vegetation removal), 4MAWVR (four months after woody vegetation removal), 1YAWVR (one year after woody vegetation removal), 2YAWVR (two years after woody vegetation removal).
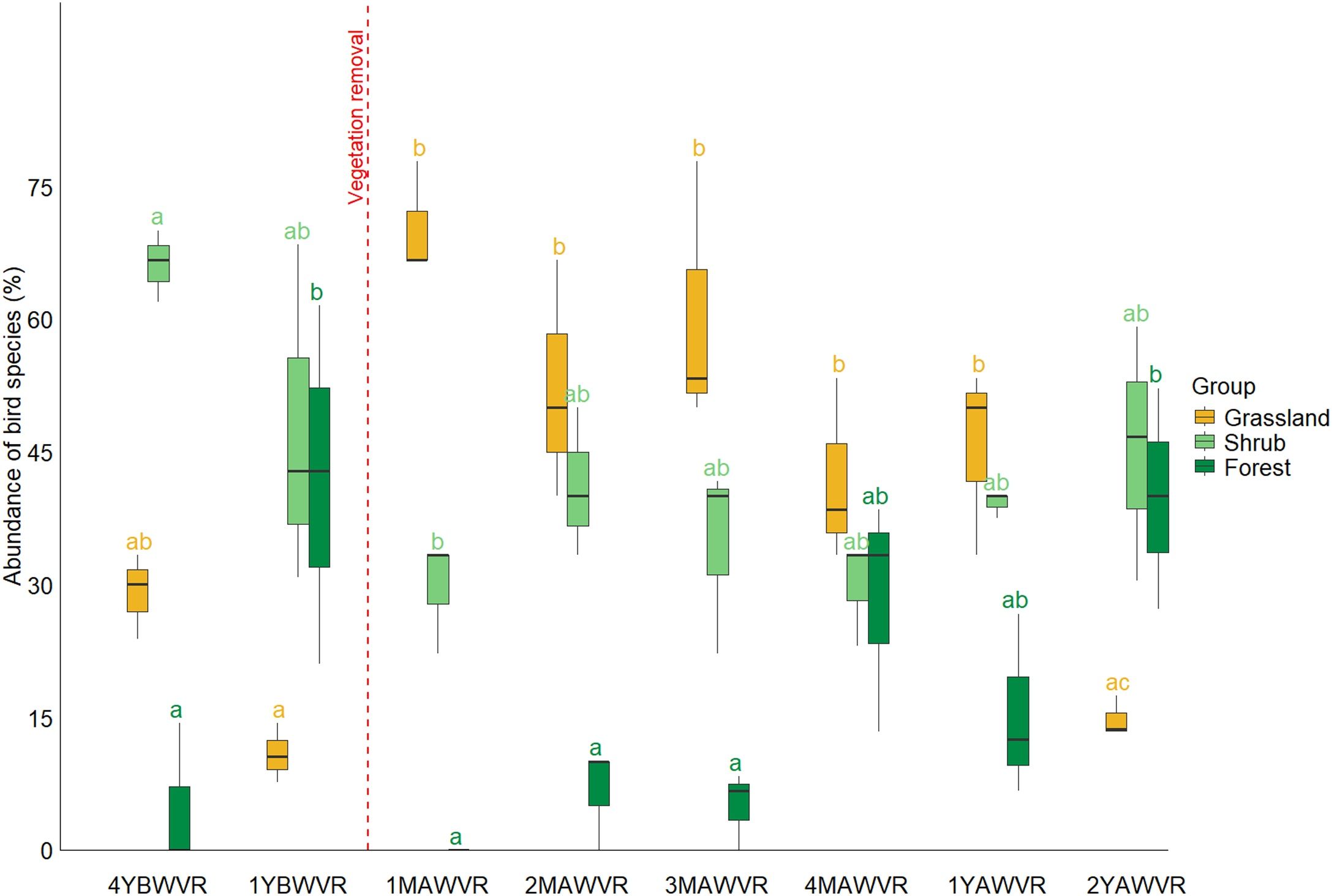
Results for species abundance showed a trend similar to that for the results for species richness. There was a significant increase in the abundance of grassland birds immediately after removal (1MAWVR), which continued until a significant decrease two years after woody removal (2YAWVR) (Table S4). Shrub-associated bird species abundance decreased significantly only during the first month following woody vegetation removal, with no significant differences observed in subsequent sampling periods (Table S5). The abundance of forest-dependent bird species increased significantly one year before woody vegetation removal (1YBWVR), then decreased significantly in the first three months after removal followed by a significant increase again two years after removal (1YAWVR), reaching values similar to those found one year before removal (Fig. 2, Table S6).
Boxplots demonstrating variations in the abundance of bird species according to their relationship with vegetation and sampling period. Different letters indicate significant differences between sampling periods. The dashed red line indicates the time of woody vegetation removal. Caption: 4YBWVR (four years before woody vegetation removal), 1YBWVR (one year before woody vegetation removal), 1MAWVR (one month after woody vegetation removal), 2MAWVR (two months after woody vegetation removal), 3MAWVR (three months after woody vegetation removal), 4MAWVR (four months after woody vegetation removal), 1YAWVR (one year after woody vegetation removal), 2YAWVR (two years after woody vegetation removal).
No significant differences in species composition were found among sampling periods for any of the vegetation-dependent bird groups, except for grassland birds, for which the result was marginally significant (PERMANOVA, F(6,14) = 1.56, p = 0.059). In the NMDS, it is possible to observe that the periods 3MAWVR and 4MAWVR were the most distinct, indicating that species composition changed during these periods, likely due to a higher availability of resources for grassland birds. (Fig. 3A). For birds associated with shrub and forest vegetation, no significant differences were found (PERMANOVA, F(7,16) = 1.02, p = 0.444 and PERMANOVA, F(7,13) = 1.14, p = 0.272, respectively).
Nonmetric multidimensional scaling (NMDS) based on Bray-Curtis dissimilarity matrix, representing the composition of bird communities between the different sampling periods. Each point represents a point-count and the colors and symbols indicate the different periods. The polygons delimit the groupings of samples from each period, closer points indicate more similar communities. (A) Grassland birds; (B) Shrub birds; (C) Forest birds. Caption: 4YBWVR (four years before woody vegetation removal), 1YBWVR (one year before woody vegetation removal), 1MAWVR (one month after woody vegetation removal), 2MAWVR (two months after woody vegetation removal), 3MAWVR (three months after woody vegetation removal), 4MAWVR (four months after woody vegetation removal), 1YAWVR (one year after woody vegetation removal), 2YAWVR (two years after woody vegetation removal).
Consistent with our first hypothesis, grassland bird richness and abundance increased following woody vegetation removal. Conversely, species associated with woody vegetation showed a decline, confirming the expected trade-off. This results indicate that the positive responses of grassland birds were transient: richness and abundance increased up to one year after removal but declined significantly two years later. This temporal pattern suggests an immediate but short-lived effect of management, likely driven by the rapid regeneration of woody vegetation, which reduces the availability of open-habitat structure. Together, these findings highlight both the effectiveness and the limitations of woody vegetation removal as a management strategy for grassland bird communities.
After removal, some portions of the cleared area already showed a significant increase in shrub density two years after the removal of woody vegetation, reaching levels similar to that recorded prior to removal. This suggests an accelerated woody encroachment process in the study area, possibly driven by the proximity of source areas for these species. In this case, the increase in shrub density improves the habitat for woody-dependent birds, since the increased density of woody plants makes new foraging opportunities, hiding places, and nesting sites available (Andersen and Steidl, 2019; Archer et al., 2017; Coppedge et al., 2004).
Aligned with our second hypothesis, temporal changes in species composition demonstrate that woody vegetation removal reshapes not only community structure but also the identity of species occupying the experimental area at different successional stages. This pattern is consistent with BealNeves et al. (2020), who showed that grassland bird communities vary according to the time elapsed since the last fire, with the highest richness and diversity occurring under intermediate post-fire intervals, when habitat structural heterogeneity is greatest. Similarly, woody vegetation removal operates as a disturbance that resets vegetation structure, opening a temporal window in which grassland species encounter favorable conditions for foraging, reproduction, and shelter before woody vegetation begins to regenerate.
Our results indicate that targeted reductions in woody vegetation can effectively reestablish grassland habitat conditions and promote favorable responses among grassland‐dependent bird species. This pattern aligns with experimental evidence demonstrating that decreases in woody cover improve habitat quality and demographic performance in grassland bird communities. For example, Thompson et al. (2016) reported positive, although delayed, responses to large-scale tree removal, underscoring the importance of temporal scale in post-treatment dynamics. Similarly, experimental removal of tree rows and shelterbelts has led to increased grassland bird densities and nesting activity (Ellison et al., 2013; Tack et al., 2017). Together, these studies highlight that the scale and timing of interventions, as well as the need for recurrent management to prevent rapid regrowth, are key factors driving the magnitude and persistence of avian responses (Coffman et al., 2014; Thompson et al., 2016). In line with this evidence, we observed an initial increase in grassland species richness and activity immediately after removal, followed by a decline associated with accelerated shrub regeneration and the absence of additional management actions.
The broader literature, together with our findings, indicates that strategies aimed at reducing woody vegetation can enhance both the structural and functional quality of grassland habitats (Andersen and Steidl, 2023; Silber et al., 2024). Field observations corroborated this pattern: three months after removal, we recorded high diversity of fruiting grasses, and species such as Emberizoides herbicola, which bred in the area, and Sicalis luteola, observed foraging in small flocks, returned to the site. These responses suggest improved resource availability and habitat suitability. Enhanced resource conditions may also contribute to higher reproductive success and reduced predation risk (Archer et al., 2017; Jacoboski et al., 2023; Sirami and Monadjem, 2012), particularly given that proximity to woody vegetation can negatively affect nest survival for some species (Andersen and Steidl, 2023; Graves et al., 2010).
It is important to highlight that the study area is embedded in a grassland-dominated matrix that includes unmanaged patches, particularly within legally protected areas. These unmanaged areas are subject to strong and continuous shrub encroachment pressure. Consequently, part of the temporal variation observed before and after vegetation removal reflects landscape-scale processes operating in the surroundings, especially the rapid advance of woody vegetation in unmanaged grassland areas. Considering the estimates by Sühs et al. (2020) that unmanaged grassland vegetation in high-altitude grasslands in southern Brazil will be completely replaced by woody vegetation within 30 years, the removal of this type of vegetation should be considered a priority in conservation strategies for grassland bird species in areas where shrubland is dense (Silber et al., 2024), and especially in areas where threatened species occur. Although the present study was conducted on a small scale, the results demonstrate that woody vegetation removal benefits grassland bird species due to an increase in habitat availability and a greater supply of resources, although this was not measured directly. However, the declining trend observed two years after vegetation removal, both in richness and abundance, demonstrates that specific actions are not sufficient to maintain the grassland bird community for the long term. Continuous or cyclical management is necessary to prevent the reestablishment of woody vegetation. Maintaining a minimum level of vegetation disturbance is essential to maintaining the herbaceous-grassland component of vegetation, which benefits grassland-dependent birds (Fontana et al., 2016; Jacoboski et al., 2017, 2022). Therefore, we recommend that, in addition to managing woody vegetation in protected areas within grassland ecosystems, this management should be carried out continuously and at appropriate intensities and scales to allow the maintenance of vegetation mosaics in the landscape to improve habitat for grassland birds and maximize species diversity.
The authors declare that they have no conflicts of interest, financial or personal, that could inappropriately influence or bias the conduct, interpretation, or reporting of this research. All aspects of the study were conducted with full academic integrity and impartiality.
We thank CMPC Brasil for financial and logistical support for carrying out this study. We are grateful to Elias Frank de Araújo for providing essential logistics during the field expeditions and for his continuous support. We also thank Raquel Klein Paulsen and Paula Mulazzani Candiago for their assistance in the field. Finally, we acknowledge the Conselho Nacional de Desenvolvimento Científico e Tecnológico (CNPq) for the research grant to S.M.H., process number 305549/2018-9.








